(3)レジン・アスファルテンの分解
レジン・アスファルテン画分には様々な成分が含まれています。この画分に含まれる成分は、高沸点で高分子の化合物が多く、どのような化合物が存在しているのか詳しくは分かっていません。これらの画分に含まれる成分は、高分子で複雑な構造をしているものが多いため、非常に微生物分解されにくいです。特に常温で固体のアスファルテンは、微生物分解はほとんど起こりません。そのため、アスファルテン画分の成分はいつまでも環境中に残存する傾向にあります。
しかし、レジン画分に含まれる成分のうち、低分子の硫黄化合物、窒素化合物、酸素化合物の中には、比較的微生物分解を受けやすいものもあります。
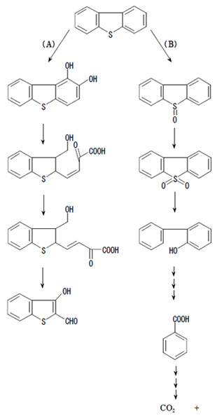
硫黄化合物では、チオフェン環を持つ化合物、ベンゾチオフェン、ジベンゾチオフェンなどの分解が報告されています。このうち、最も研究されているのがジベンゾチオフェンの分解経路です。ジベンゾチオフェンの分解経路には、ベンゼン環の一つが酸化されて取り除かれる経路と、チオフェン環の硫黄が酸化される経路の2通りの経路が確認されています。ベンゼン環が酸化される経路はPseudomonas属の細菌でよく研究されており、分解はベンゼン環が一つ取り除かれたところで終わります(【図1-A】)。一方、チオフェン環の硫黄を酸化する経路をとるBrevibacterium属の細菌は、安息香酸を経て、ジベンゾチオフェンを完全に無機化することができます(【図1-B】)。
【図1】ジベンゾチオフェンの分解経路

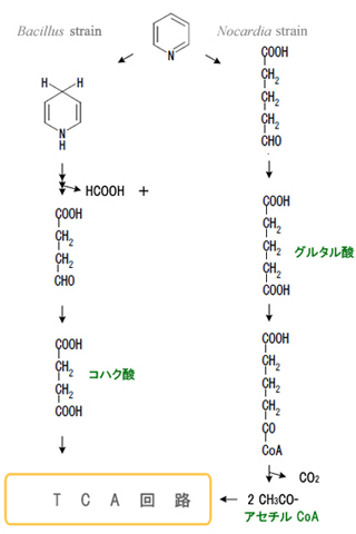
窒素化合物では、ピリジン、キノリン、インドール、カルバゾールなどの微生物分解が報告されています。ピリジンは多くの微生物に分解されることが報告されていますが、ピリジン環がどのように開裂していくのかについてはよく分かっていません。【図2】は、Bacillus属の細菌とNocardia属の細菌の研究で提案されたピリジンの分解経路です。キノリンもまた、多くの微生物によって分解される窒素化合物であり、分解経路が比較的よく研究されています。キノリンの分解は窒素原子の隣の炭素原子が水酸化されることから始まります。そこからは、ピリジン環が開裂する経路とベンゼン環が開裂する経路の2通りの経路が確認されています(【図3】)。
石油に含まれる酸素化合物の多くは、フェノール、脂肪酸、ナフテン酸などです。これらの化合物は、芳香環、アルカン、シクロアルカンが酸化・分解されていく過程でも生じ、それぞれの項で既に述べたような経路で分解されていきます。
【図2】Bacillus strain 4 とNocardia strain Z1 による
ピリジンの分解経路

【図3】Pseudomonas putida 86 株と
Comamonas testosteroni 63 株によるキノリンの分解経路

お問い合わせ
- 独立行政法人製品評価技術基盤機構 バイオテクノロジーセンター バイオ技術評価・開発課(かずさ)
-
TEL:0438-20-5764
住所:〒292-0818 千葉県木更津市かずさ鎌足2-5-8 地図
お問い合わせフォームへ








