(2)芳香族炭化水素の分解
芳香族炭化水素は、原油中にはそれほど多く含まれていませんが、ガソリンでは40%以上を占める主要な成分となっています。自然界からはこれまでに多くの芳香族炭化水素分解菌が単離されており、自然界に広く分布していると考えられます。また、菌類では木材を分解する白色腐朽菌が、芳香族炭化水素分解菌として有名です。
芳香族化合物の分解は、ベンゼン環に2個の隣接した水酸基が導入されることによって始まります。このベンゼン環への水酸基の導入は、単環、二環、三環など環数に関わらず、芳香族化合物の分解において共通して起こる反応です。
単環芳香族の分解では、ベンゼン環の水酸化によってカテコールが生成された後、ベンゼン環の開裂が起こります。開裂反応には、開裂の起こる位置によって2つの水酸基の間で開裂が起こるオルト開裂と、2つの水酸基の隣で開裂が起こるメタ開裂があります。開裂によって生じた化合物は、それぞれオルト開裂経路、メタ開裂経路という代謝経路を経て、最終的にはTCA回路に組み込まれていきます(【図1】)。
【図1】ベンゼンの分解経路

アルキル置換基を持つ芳香族化合物では、ベンゼン環の水酸化の前にアルキル置換基の酸化が起こることがあります。長鎖のアルキル置換基を持つ場合、最初にアルキル置換基がβ酸化によって除去されることが多いようです。一般的には、アルキル置換基が長いほど、またアルキル置換基の数が多いほど、分解されにくくなっていきます。異なる長さのアルキル置換基が存在した場合には、微生物はより短いものから酸化していくのです。
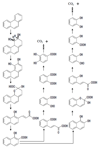
多環芳香族炭化水素(PAH)の分解では、水酸基の導入と開裂によって環数を減らしながら分解が進んでいきます。二環のナフタレン、三環のフェナントレン、アントラセンは比較的分解されやすく、これらの化合物を資化できる微生物は土壌、海洋、淡水から幾つか単離されています。【図2】にはフェナントレンの分解経路の一例を示しました。しかし、四環以上になると分解されにくくなり、環数が多くなるほど分解は起こりにくくなっていきます。
【図2】フェナントレン分解経路

四環以上のPAHを資化できる微生物については、これまでほとんど情報がありませんでした。しかし、最近10年ほどの間にMycobacteriumやRhodococcusなどで四環以上のPAHを資化できる株が見つかってきています。これらの微生物が分解するのは、主にピレンやフルオランテン(石油の成分参照)など四環のPAH で、石油汚染された土壌から単離されたものが多いです。しかし、ピレンなどの資化菌は海洋にも存在しているようです。このように最近になって、四環以上のPAHを資化する微生物も幾つか見つかってきていますが、自然環境中ではこれらのPAHの分解には共代謝が大きな役割を果たしているようです。つまり、他に利用できる基質があるときに、微生物はこれらのPAHを分解するのです。フルオランテン資化菌として汚染土壌から単離されたShingomonaspaucimobilisのEPA505という株は、フルオランテン以外の四環以上のPAHを資化することはできません。しかし、フルオランテンで増殖させたEPA505は、これらの四環以上のPAHを分解することができました。また、メキシコ湾から単離されたCycloclasticus は、フェナントレンで培養したときのみピレンとフルオランテンを分解することができました。これらの例でも分かる通り、環数の多いPAHの共代謝には、環数の少ないPAHが補助基質として必要なことがあります。そのため、四環以上のPAHを微生物分解させるために、二環や三環のPAHを汚染サイトに添加するというアイディアも考えられています。また、PAH、特に環数の多いPAHは疎水性が非常に高く、土壌粒子や土壌有機物に吸着されやすいです。このPAHの性質は、バイオアベイラビリティーを低下させ、PAHを難分解性にする要因の一つだと考えられています。そのため、界面活性剤を添加してPAHを可溶化させれば、PAH分解が促進されるのではないかと考えれました。実際に、界面活性剤の添加によりPAHの分解が促進された例が報告されています。しかし、逆に界面活性剤によって分解が阻害された例もあり、界面活性剤の添加がPAHの分解に必ずしもプラスに働くとは限らないようです。また、界面活性剤に対する反応は、微生物の種類によって異なっているようです。
界面活性剤によってPAHの分解が阻害されるのは、界面活性剤による毒性が考えられるほか、前節で述べた細胞内への取り込み方法も関係しています。つまり、基質の表面に付着してPAHを取り込むタイプの微生物の場合には、界面活性剤によってPAHの取り込みが阻害されると考えられるのです。
お問い合わせ
- 独立行政法人製品評価技術基盤機構 バイオテクノロジーセンター バイオ技術評価・開発課(かずさ)
-
TEL:0438-20-5764
住所:〒292-0818 千葉県木更津市かずさ鎌足2-5-8 地図
お問い合わせフォームへ








