(1)飽和炭化水素の分解
アルカンの分解
アルカンは、原油中で最も多い成分です。アルカン、特にn-アルカンは、石油成分の中でも微生物分解を受けやすいです。アルカンは、細菌のほか、ある種の酵母(菌類)にも分解されます。
【図1】アルカンの分解経路

n-アルカンの分解は、多くの場合、末端のメチル基に酸素原子が添加されることによって始まります。この反応は、アルカンモノオキシゲナーゼという酵素によって進められ、アルコールが生成されます。生成されたアルコールは、脱水素酵素によって、順次、アルデヒド、カルボン酸へと酸化(脱水素)されていきます。こうして生じたカルボン酸は、多くの生物が脂質を代謝するために持つ経路、β酸化経路で代謝できるようになります。β酸化では、炭素原子2個ずつが、順次、アセチルCoAという物質として切り出されていきます。アセチルCoAは、好気呼吸の代謝系、TCA回路に入り、最終的には水と二酸化炭素に無機化されます(【図1】)。
n-アルカンは、片側の末端が酸化されるだけではなく、両側の末端が酸化されたり炭素鎖の内部が酸化されたりすることもあります。両末端が酸化された場合には、両末端にカルボキシル基が生成された後、両側から炭素鎖の切り出しが行われます。また、炭素鎖の内側が酸化された場合には、さらに酸化されてエステルが形成された後、加水分解されてカルボン酸とアルコールになります。アルコールは酸化されてカルボン酸になり、β酸化経路へと入っていきます(【図1】)。
分枝状アルカンは、一般的に見て、n-アルカンよりも分解されにくいです。分枝鎖の数が増えるほど分解されにくくなるようです。β位(末端から2番目の炭素原子)に分枝鎖がある場合や、第4級炭化水素(一つの炭素原子に4つの炭素鎖が付いた構造を持つ炭化水素)の場合も、分解されにくいです。おそらく、β酸化が妨げられるためと考えられます。フィタンやプリスタン(【図2】)のように分枝鎖の多い分枝状アルカンは、長い間、ほとんど微生物分解がされないと信じられており、石油の微生物分解の程度を測る際の内部標準物質として用いられてきました。しかし、近年になって、フィタンやプリスタンも微生物分解されることが明らかになってきました。海洋性のアルカン分解菌の多くが、フィタンやプリスタンを分解する能力を持っているようです。そのため、現在では、フィタンやプリスタンに替わって、複数のシクロヘキサン環を持つホパンが内部標準物質として用いられています。
【図2】分岐上アルカンのフィタン(A)とプリスタン(B)

シクロアルカンの分解
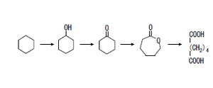
シクロアルカンを資化できる微生物は、それほど多く見つかっていません。報告されているのは、Nocardia、Pseudomonas など若干です。【図3】には、これらの細菌によるシクロヘキサンの分解経路を示しました。
シクロアルカンの分解に重要な役割を果たしているのは、資化よりも共代謝です。既に述べたように、n-アルカンの分解酵素であるアルカンモノオキシゲナーゼは基質特異性が広く、シクロアルカンにも酸素を添加することができます。この反応によって生成されたシクロアルカノールやシクロアルカノンを資化できる微生物は、比較的多く存在しており、これらの微生物によって、最終的には二酸化炭素と水に無機化されます。シクロアルカンは、環境中では多くの微生物の共同作業によって分解されていくのでしょう。
【図3】Nocardia とPseudomonas によるシクロヘキサンの資化経路

アルキル側鎖を持つシクロアルカンは、アルキル側鎖からβ酸化されていく場合が多いです。また、アルキル側鎖の炭素数によって分解性に違いがあるようだ。BeamとPerryは、Mycobacterium とNocardia の純粋培養系において、炭素数12個までの側鎖を持つシクロヘキサンの分解実験を行いました。これらの微生物は、メチル-シクロヘキサンとエチル-シクロヘキサンは分解できませんでしたが、それ以上の炭素数のアルキル側鎖(n≧3)を持つシクロヘキサンは、アルキル側鎖からβ酸化していきました。しかし、アルキル側鎖の炭素数が奇数の場合と偶数の場合では、最終生成物が異なっていました。炭素数が奇数の場合には、アルキル側鎖に続いてシクロヘキサン環も酸化されていきましたが、炭素数が偶数の場合には培地中にシクロヘキシル酢酸が蓄積されたのです。この結果は、アルキル側鎖の炭素数が奇数の場合の方が、完全分解されやすいことを示しています。
しかし、複数の微生物を使った混合培養系においては、炭素数12の側鎖を持つドデシルシクロヘキサンが完全分解されたことが報告されています。自然環境中でも、複数の微生物の共同作業によって、アルキルシクロヘキサンの無機化が進んでいるものと思われます。
お問い合わせ
- 独立行政法人製品評価技術基盤機構 バイオテクノロジーセンター バイオ技術評価・開発課(かずさ)
-
TEL:0438-20-5764
住所:〒292-0818 千葉県木更津市かずさ鎌足2-5-8 地図
お問い合わせフォームへ








