数理モデルでの利用例(Pythonによるパフモデル計算例)
- 1.排出量データのダウンロード
- 2.csv 形式データの出力
- 3.濃度推計拡散モデル(パフモデルの例)
- 4.推計濃度の計算(Pythonによるサンプルプログラム)
- 5.サンプルプログラム(Python)による計算の実行手順
- 6.計算結果のGISへの反映(QGISの利用例)
- 7.サンプルプログラムによる計算結果例
1.排出量データのダウンロード
2.csv 形式データの出力
GISソフトを利用してcsv形式でデータを出力する方法を説明します。
利用するGISソフトはQGISです。
QGISでシェープファイルを表示する方法は、『GIS (Geographic Information System)による利用』>『3.シェープファイルの表示 』を御覧ください。
『レイヤパネル』に表示されている事業所データを右クリックします。
『名前をつけて保存する...』を選択します

『形式』>『カンマで区切られた値[CSV』』を選択します。
『エンコーディング』>ここでは『Shift_JIS』を選択します。(任意で選択します。)
『File name』>『ブラウズ』ボタンを押して、保存先フォルダ、ファイルを指定します。
ここでは、D:\data\tempのフォルダに『exp_2015_std_003.csv』として保存しています。
『OK』ボタンを押します。

以降は、この出力ファイル『exp_2015_std_003.csv』を使って計算します。
出力ファイルの例

3.濃度推計拡散モデル(パフモデルの例)
無風状態における大気の拡散モデルとしては、パフモデルがあります。
点煙源拡散のパフモデル基本式

連続排出点煙源拡散の定常状態のパフ式(パフ積分式)

ここで、
C(x, y, z) : x, y, z地点における濃度(μg/m3)
C(R, z) : R, z地点における濃度 (μg/m3)
Q 、q : 排出された化学物質の量 (μg)
x、y、z: 排出源から水平方向 x、y (m)、高さ方向 z (m)地点までの座標距離
R : 排出源から水平方向R (m)地点までの距離
R2=x2+y2
σx、σy、σz : 水平方向x、y、高さ方向zの拡散幅(m)
σx = σy = αt
σz = γt
α、γ : 大気の安定度に応じて変化する係数
He : 有効煙突高さ (m)
となります。
サンプルプログラムでは、モデル計算の簡単な例としてパフ積分式による計算例を説明します。
計算式は適宜修正して下さい。
4.推計濃度の計算(Pythonによるサンプルプログラム)
アクリル酸エチル(政令番号:3、CAS:140-88-5)の排出量データ(3次メッシュ)を用いたサンプルプログラムによる推計濃度計算例を説明します。

サンプルプログラムでは、排出量データから推計濃度をPythonプログラムで計算する例を説明します。
サンプルプログラム
3次メッシュ用プログラム (sample_std.py)
5倍メッシュ用プログラム (sample_x5.py)
サンプルプログラムでの推計濃度の計算は、排出量データから『CSV形式データの出力』で出力した排出量データのファイル(csv)を利用します。
サンプルプログラムの説明
サンプルプログラムでは、排出量データ全てのデータを元に計算しています。
一部のデータを取り出しての計算も可能です。
サンプルプログラムでは、メッシュごとの排出量から拡散幅の推計濃度を計算し、各メッシュの推計濃度を積算します。
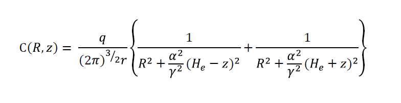
推計濃度計算に利用した拡散モデル式(パフ積分式)

メッシュごとの排出量からサンプルプログラムによる計算のイメージ(3次メッシュ)
計算例では、点煙源として計算しています。

サンプルプログラムの計算の流れのイメージ

計算対象データ

サンプルプログラムの処理フロー

サンプルプロフラムの設定内容は次のとおりです。
・ 排出量qの値は、『合計(大気)』(kg)の値を1秒における排出量に換算し(÷365(日)÷24(時間)÷60(分)÷60(秒))の排出量に換算し、更に(μg)に換算(×1,000,000,000)して計算しています。(プログラム51行目)
・ サンプルプログラムでは、排出量データファイルの各行の排出量データ(3行目『合計(大気)』)に対して、拡散モデル式による計算をします(適宜修正して下さい)。(プログラム61行目)
・ サンプルプログラムでは、設定値を次の値にして計算しています(適宜修正して下さい)。(プログラム40から50行目)
R = 10000 (m)
α = 0.439 (安定度G)
γ = 0.029 (安定度G)
z = 1 (m)
He = 300 (m)
・ サンプルプログラムでは、排出量データファイルのデータを1000行(1000データ)ごとに計算処理しています。(プログラム23行目)
・ サンプルプログラムでは、計算したデータを同じメッシュコードでまとめ(積算し)ています。(プログラム85行目から140行目)
・ サンプルプログラムでは、計算結果を一つのファイルにまとめて、wkt_output_『排出量データファイル名』と出力します。(プログラム159から187行目)
注意事項
・ 濃度推計においては、気象条件(風、温度、気温勾配、大気安定度など)、化学変化(吸着、沈降、分解、消滅など)、バックグラウンド濃度、地形による影響などを考慮する必要がありますが、サンプルプログラムでは適切な値を設定していないため、計算結果は実際の予測濃度とはなりません。
・ サンプルプログラムによる結果は、濃度マップ(AIST-ADMERの計算結果)とは違う結果となります。
・ サンプルプログラムの設定値は任意に設定しています。実際の値とは異なります。
・ モデル式、設定値などは任意に修正してください。
本プログラムの使用、又は使用不能によって発生する損害に対する責任は、それが直接的であるか間接的であるか、必然的であるか偶発的であるかに関わらず、負わないものとします。
5.サンプルプログラム(Python)による計算の実行手順
1.『csv 形式データの出力』で出力した排出量データファイルをPythonの作業用フォルダに置きます。
ここでは、D:\Data\tempに置いてあります。
(注意事項)
・ 作業用フォルダには計算対象の排出量データファイル以外は置かないで下さい。
・ 作業用フォルダに置かれたファイルは、計算の後に削除されます。

2.サンプルプログラムを実行します。

3.Pythonの作業用フォルダに『WKT_output_"排出量データファイル名"」が出力されます。

6.計算結果のGISへの反映(QGISの利用例)
『レイヤ』 > 『レイヤの追加』 > 『デリミティッドテキストレイヤの追加』の選択、または、該当のアイコンをクリックします。

『デリミティッドテキストファイルからレイヤを作成』の各項目を設定します。
ファイル名: 計算結果のファイルを指定します。(図では、wkt_output_exp_w015_std_003.csvを指定)
ファイル形式: 『CSV(コンマで区切られた値)』を選択します。
レコードオプション: 『最初のレコードはフィールド名を把持している』をチェックします。
ジオメトリ定義: 『Well known text (WKT) 形式』を選択します。
ジオメトリフィールド: 『WKT』を選択します。
『OK』ボタンを押します。

『空間参照システム選択』の各項目を設定します。
世界中の空間参照システム: 『JGD2000』を選択します。
『OK』を押します。


データのプロパティの変更などは、『GIS (Geographic Information System)による利用』 > 『6.推計濃度データの表示』を御参照下さい。
7.サンプルプログラムによる計算結果例

計算に利用した排出量データ
アクリル酸エチル(政令番号 3 CAS番号 140-88-5)3次メッシュ(自然なフレーク(Jenks) 5段階)

計算に用いたモデル式(パフ積分式)

計算結果
R=5000 (m)(自然なフレーク(Jenks) 10段階)

国土交通省国土政策局「国土数値情報(海岸線データ)」をもとにNITEが編集・加工した地図を背景に利用しています。
設定値:
R = 5,000 (m)
α = 0.439
γ = 0.029
z = 1 (m)
He = 300 (m)
(参考)t = R/α = 11390 (sec)
R=10000 (m)(自然なフレーク(Jenks) 10段階)

国土交通省国土政策局「国土数値情報(海岸線データ)」をもとにNITEが編集・加工した地図を背景に利用しています。
設定値:
R = 10,000 (m)
α = 0.439
γ = 0.029
z = 1 (m)
He = 300 (m)
(参考)t = R/α = 22779 (sec)
R = 20,000 (m)(自然なフレーク(Jenks) 10段階)

国土交通省国土政策局「国土数値情報(海岸線データ)」をもとにNITEが編集・加工した地図を背景に利用しています。
設定値:
R = 20,000 (m)
α = 0.439
γ = 0.029
z = 1 (m)
He = 300 (m)
(参考)t = R/α = 45558 (sec)
お問い合わせ
- 独立行政法人製品評価技術基盤機構 化学物質管理センター リスク管理課
-
TEL:03-5738-5482
住所:〒151-0066 東京都渋谷区西原2-49-10 地図
お問い合わせフォームへ





